ロードバイクの空気抵抗をFITファイルから推定してみた - Tarmac SL5 vs Aeroad CF SLX 8
概要
新しいロードバイク(Canyon Aeroad CF SLX 8)を買ったので、旧バイク(Specialized Tarmac SL5)と比較して、どれだけエアロ性能が向上したのかを調べてみました。
風洞実験とかCFDシミュレーションは一般人には無理なので、FITファイルを解析してCdA(空気抵抗係数)を推定してみました。
結論から言うと、平均速度が2.4%向上(24.05 km/h → 24.62 km/h)して、パワーはほぼ同じ(223.5W → 225.0W、+0.7%)でした。心拍数も5 bpm下がっていて、楽に速く走れるようになっています。
大前提として計測環境に大きな違いがあるので分析方法の参考までにどうぞ。条件をある程度揃えて適当に走ればfitファイルから機材抵抗を分析できるよという事例程度に捉えていただければと思います。
ただ、CdA推定値は色々と罠があることもわかりました。。。
背景
エアロロードバイクって実際どれだけ速いのか、ちゃんと数字で知りたいですよね。
メーカーのカタログには「何ワット削減」とか書いてありますが、それって風洞実験の理想的な条件での話です。実際の走行でどれだけ違うのかは自分で測るしかありません。
でも風洞実験なんて普通のサイクリストには使えないので、手元にあるFITファイルからCdAを推定できないかと考えました。
比較したバイク
- Specialized Tarmac SL5(旧):軽量オールラウンダー
-
2014年発売
-
Size: 54cm
-
- Canyon Aeroad CF SLX 8 (新):エアロロードバイク
-
2025年発売
-
Size: S
-
その差11年!
やったこと
データ収集
皇居を4周(1周約5km)して、FITファイルを回収しました。風向きによる誤差を減らすために周回コースです。
記録されているデータ:
- 速度
- パワー
- ケイデンス
- 心拍数
- GPS位置情報
- 標高
開発した分析ツール
Pythonでスクリプトを書きました。使ったライブラリは以下の通りです。
- fitparse(FITファイル解析)
- pandas(データ処理)
- numpy(数値計算)
- matplotlib(グラフ作成)
コードはGitHubに上げてあります。
分析方法
データの抽出
FITファイルから皇居周辺のデータだけを抽出しました。
# 皇居の中心座標(桜田門付近)palace_lat = 35.6776palace_lon = 139.7571
# 中心から1.5km以内のデータを抽出10分以上停止したら別のセグメントとして分割して、連続する走行データだけを使っています。
CdA推定の方法
エアロ抵抗の物理式はこれです。
Power_aero = 0.5 × ρ × CdA × v³- ρ(空気密度)= 1.225 kg/m³
- v(速度)= 走行速度 [m/s]
- CdA = 空気抵抗係数 [m²]
この式を使ってCdAを逆算します。
CdA ≈ (Power × 0.7) / (0.5 × ρ × v³)総パワーの約70%がエアロ抵抗に使われると仮定しました。残りは転がり抵抗とか駆動系の損失です。
定常走行データの抽出
速度25-40 km/h、パワー150-400Wのデータだけを使いました。
この範囲なら加速・減速・登坂の影響が少なく、エアロ抵抗が支配的になるからです。
外れ値を除去して、中央値を使っています。
その他のメトリクス
- Normalized Power (NP):変動の激しいパワーの生理学的負荷を反映
- パワー/速度比:効率指標(低いほど効率的)
- 高速域パフォーマンス:35km/h以上での平均速度とパワー
結果
オリジナルの分析データはこちら

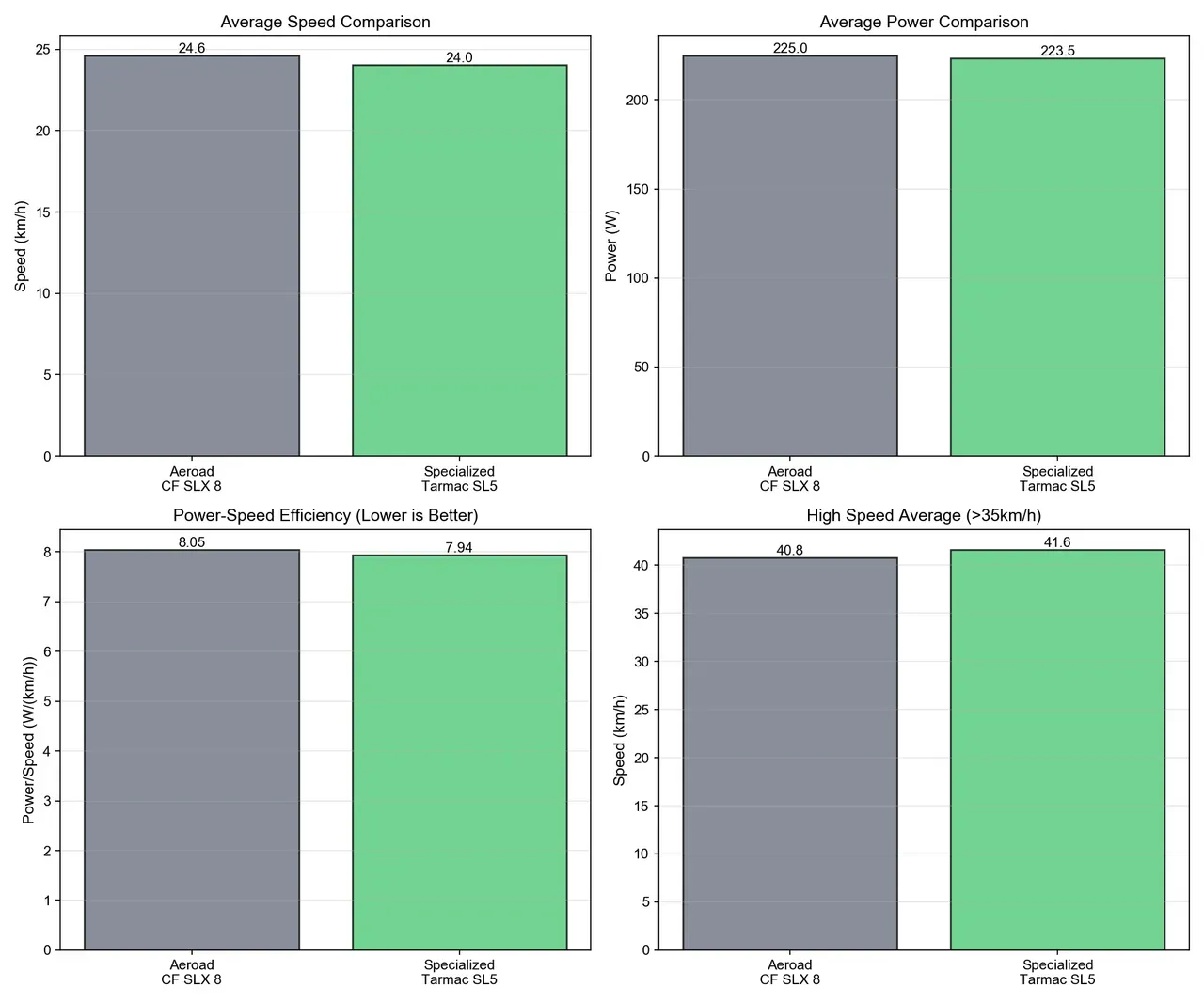
主要な数値
| メトリクス | Aeroad | Tarmac | 差分 |
|---|---|---|---|
| 平均速度 | 24.62 km/h | 24.05 km/h | +0.57 km/h (+2.4%) |
| 平均パワー | 225.0 W | 223.5 W | +1.5 W (+0.7%) |
| 推定CdA | 0.342 m² | 0.337 m² | +0.006 m² (+1.7%) |
| パワー/速度比 | 8.05 W/(km/h) | 7.94 W/(km/h) | +0.11 (+1.4%) |
| 平均心拍数 | 120 bpm | 125 bpm | -5 bpm |
| 高速域平均速度 (>35km/h) | 40.80 km/h | 41.63 km/h | -0.83 km/h |
グラフ
分析ツールは6枚のグラフを自動生成してくれます。





速度分布を見ると、Aeroadの方が若干右側(高速側)にシフトしているのがわかります。

パワーと速度の関係はほぼ重なっています。
考察
実走性能は向上している
ほぼ同じパワー(+0.7%)で速度が2.4%上がって、心拍数が5 bpm下がっているので、新しいバイクの方が優れています。
約56分の走行で約2分短縮できる計算です。
体感でも楽に速く走れている感じがあります。
CdA推定値が矛盾している
ところが、推定CdA値はTarmacの方が1.7%優れている(0.337 m² vs 0.342 m²)という結果になりました。
これは実走性能と矛盾しています。。。
理由を考えてみました。
理由1: パワーメーターの違い
一番大きいのはこれです。
両バイクで異なるパワーメーター機材を使っているので、計測値に±1-2%の誤差があります。CdA推定はパワー値に直接依存するので、この誤差がそのままCdA値に影響します。
同じパワーメーターを使うか、事前に相互校正しないと正確な比較はできません。
理由2: 風の影響
測定日の風向・風速が違うと、見かけ上のCdA値が変わります。
30km/hでのCdA差0.006 m²は約2.0Wの差に相当しますが、これは軽い追い風・向かい風で簡単に逆転する程度です。
高速域ではさらに風の影響が大きくなります。周回コースではありますが、斜めから風が吹くと、ヨー角を考慮したエアロ特性にも影響が出ます。
理由3: その他の条件
- ライダーのポジション
- ウェアの違い
- タイヤ空気圧
- 体調
これらも全部影響します。
何を信じるべきか
結論として、CdA推定値よりも実際の総合パフォーマンス(速度+心拍数)の方が信頼できるということがわかりました。
速度と心拍数はパワーメーター機材に依存しないし、複数のメトリクスが同じ方向(速度↑、心拍数↓)を示しています。生理学的な証拠(心拍数低下)も伴っているので、これは信用できます。
この分析手法の限界
今回の簡易的なCdA推定には以下の限界があります。
- 勾配の影響を完全には考慮できていない
- 風の影響が支配的
- パワーメーター間の誤差が大きい
- 異なる日のデータ比較では条件が統一されていない
もっと精度を上げるなら:
- 同じパワーメーターを使う(最重要)
- 同日・同時刻に比較する
- 風速・風向データを記録する
- 複数回テストして再現性を確認する
- ポジション・ウェア・タイヤを統一する
余談
一般的なCdA値
参考までに、一般的なロードバイクのCdA値はこんな感じです。
- 普通のロードバイク: 0.30-0.35 m²
- エアロロードバイク: 0.28-0.32 m²
- タイムトライアルバイク: 0.20-0.25 m²
今回の推定値(Aeroad 0.342 m²、Tarmac 0.337 m²)はちょっと大きめですね。
これは測定条件(ポジション、ウェア、風)の影響だと思います。
パワーの内訳
高速巡航時のパワーの使われ方は、だいたいこんな感じです。
- エアロ抵抗: 70-80%(速度が上がるほど増える)
- 転がり抵抗: 10-15%
- 駆動系損失: 5-10%
- その他: 5%
なので、高速域ではエアロダイナミクスの改善が一番効きます。
まとめ
FITファイルから空気抵抗係数(CdA)を推定して、2台のロードバイクを比較してみました。
わかったこと:
✅ 新しいAeroadは実走性能が向上している
- ほぼ同じパワーで平均速度が2.4%向上
- 心拍数が5 bpm低下して、楽に速く走行
⚠️ CdA推定値には大きな誤差がある
- パワーメーター機材の違いと風の影響が支配的
- わずかなCdA差(1.7%)は測定誤差の範囲内
💡 実用的なポイント
- FITファイル分析は実走性能の傾向把握には使える
- 正確なCdA測定には条件統一が必須(A→B→B→Aといった順番で乗ってみるとか、一定速度で走れるコースが理想。)
- パワーメーター校正が重要だがキャリブレーションは困難。